485總線是一種常用的差分信號傳輸方式,它具有抗干擾能力強、傳輸距離遠、節點數多等優點,廣泛應用于通信、工業自動化等領域。但是,在實際應用中,我們可能會遇到一個問題,就是485總線是否需要在A和B兩條線上加上下拉電阻,以及加多大的電阻合適。本文將對這個問題進行分析和解釋。
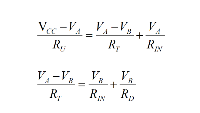
485總線是如何工作的? 首先,我們需要了解485總線的工作原理和信號特性。根據RS-485標準,485總線是通過兩條線(A和B)來傳輸差分信號的,根據兩條線之間的電壓差來判斷的當前數據位是0還是1。 485傳輸時的的數據有三種狀態: 1.當A和B之間的電壓差VAB=UA-UB大于+200mV時,485收發器輸出的邏輯為1; 2.當A和B之間的電壓差VAB=UA-UB小于-200mV時,485收發器輸出邏輯為0; 3.當A和B之間的電壓差VAB=UA-UB在-200mV~+200mV之間時,485收發器可能輸出高電平也可能輸出低電平,是一個不確定的狀態。 如何避免出現不確定狀態? 在正常情況下,我們希望接收器收到的數據只能是0或1,對于不確定的狀態是不能出現在485總線上的。那么,什么情況下會出現不確定的狀態呢? 主要有以下兩種情況: 1.當485總線處于空閑狀態時,所有的485收發器都處于接收狀態,沒有任何一個收發器在驅動總線時。此時,由于沒有任何信號源在總線上產生差分電壓,A和B兩條線上的電壓基本相等,也就是說,差分電壓基本為0。 2.當485總線處于開路狀態時,也就是說,某個485收發器與總線斷開連接時。此時,由于斷開連接的收發器不再對總線產生影響,其余收發器之間的差分電壓也基本為0。 當485驅動器輸出不足以使A、B產生絕對值大于200mV壓差時,此時485總線信號狀態已經不能反映驅動器狀態,接收器也無法識別正確信號。 3.當485總線出現不確定的狀態時,會導致通信錯誤或失效。例如,如果某個485收發器在不確定狀態下認為收到數據0信號,向串口輸出低電平,那么對于UART通信來說,這就相當于一個起始位(Start Bit),會引起誤判或誤碼;如果某個485收發器在不確定狀態下輸出高低電平交替變化,那么對于UART通信來說,就會干擾正常數據,導致UART接收器收到異常數據。 為了防止485總線出現不確定的狀態,我們根據這兩種異常分析,導致這兩種異常的原因都是當收發器處于接收狀態時,AB線上無法保持正常電壓差。要保持空閑或斷線的狀態下也能有正確的壓差,我們需要在A和B兩條線上加上下拉電阻(通常A接上拉電阻,B接下拉電阻),以保證總線在空閑或開路狀態下有一個固定的差分電壓。如下圖所示: 那么,在選擇下拉電阻的大小時,我們需要考慮哪些因素呢?主要有以下幾個方面: 1.上下拉電阻應該足夠小,以保證空閑或開路狀態下的差分電壓大于+200mV或小于-200mV(根據具體情況選擇),從而避免不確定狀態。 2.上下拉電阻應該足夠大,以減少功耗和熱量,同時不影響485收發器的驅動能力和輸出電壓。 3.上下拉電阻應該與485收發器的輸入阻抗、終端電阻、總線長度、節點數等因素相匹配,以保證總線的阻抗匹配和信號完整性。 首先,我們針對收發器處于斷線的狀態時,此時收發器A、B電壓由RU、RT、RD和RIN共同決定,即: 通常我們將RU和RD使用相同的值,則公式可簡化為: 此時,我們設芯片內部差分輸入電阻RIN=15kΩ、VCC=3.3V且RT=120R,可以算出此時,0Ω≤R≤239Ω,當然只要R≤232.5kΩ都能滿足斷線情況下A、B線處于數據1狀態。 針對于空閑狀態,考慮到大部分節點設備都會在A、B線上添加RU和RD電阻,且會在終端上增加RT電阻。如下圖所示: 我們根據前面的推導過程可知,不同的只是因為增加節點而增加的輸入電阻和上下拉電阻,所以我們根據上述電路可以推導出如下的公式: 在這個公式中,m為帶上下拉電阻的節點數量,n為節點數量。總線A端和B端的差值我們定義為最小的200mA,這樣我們就可以將這個公式簡化為: 有了這個公式就可以根據實際的節點數量來確定上下拉電阻的值。 然而根據這個公式計算出來的結果僅僅只是一個理想值,在實際使用中上下拉電阻一般都是在節點內部確定了的。不同的節點設備,其內部的上下拉電阻可能不同,我們需要考量節點的數量來考量這個電阻的值。要確定上下拉電阻的值還需要考慮驅動芯片的帶載能力。不能將上下拉電阻設置得很小。 總之,485總線要在AB線上加上下拉電阻,主要是為了保證總線在空閑或開路狀態下有一個固定的差分電壓,從而避免不確定狀態導致的通信錯誤或失效。在選擇下拉電阻的大小時,需要綜合考慮功耗、驅動能力、阻抗匹配等因素,以保證通信的穩定性和可靠性。





